二叉树
# 二叉树的定义
# 1. 什么是二叉树
二叉树是由n(n>=0)个结点组成的有序集合,该集合或者为空集(称为空二叉树),或者是由一个根节点加上两棵分别称为根节点的左子树和右子树的、互不相交的二叉树组成。
如下图:左边的就是一颗二叉树。而右图,因为D节点有三个子树,所以它不是二叉树。

# 2. 二叉树的特点
由二叉树定义以及图示分析得出二叉树有以下特点:
- 每个结点最多有两颗子树,所以二叉树中不存在度大于2的结点。(注意不是只有两棵子树,而是最多有,没有子树或者有一棵子树都是可以的)
- 左子树和右子树是有顺序的,次序不能任意颠倒
- 即使树中某结点只有一棵子树,也要区分它是左子树还是右子树
二叉树具有五种基本形态,即:空二叉树、只有一个根结点、根结点只有左子树、根结点只有右子树、根结点既有左子树又有右子树:

# 特殊二叉树
# 1. 斜树
顾名思义,斜树一定要是斜的,但是往哪斜还是有讲究。所有的结点都只有左子树的二叉树叫左斜树。所有结点都是只有右子树的二叉树叫右斜树。这两者统称为斜树。下图中左图就是左斜树,右图为右斜树。斜树有很明显的特点,就是每一层都只有一个结点,结点的个数与二叉树的深度相同。


有人会想,这也能叫树呀,与我们的线性表结构不是一样吗。对的,其实线性表结构就可以理解为是树的一种极其特殊的表现形式。
# 2. 满二叉树
在一棵二叉树中,如果所有分支结点都存在左子树和右子树,并且所有叶子都在同一层上,这样的二叉树称为满二叉树。
下图就是一颗满二叉树:

单是每个结点都存在左右子树,不能算是满二叉树,还必须要所有的叶子都在同一层上,这就做到了整棵树的平衡。因此,满二叉树的特点有:
- 叶子只能出现在最下一层。出现在其他层就不可能达成平衡。
- 非叶子结点的度一定是2。
- 在同样深度的二叉树中,满二叉树的结点个数最多,叶子数最多
# 3. 完全二叉树
对一棵具有n个结点的二叉树按层序编号,如果编号为i(1≤i≤n)的结点与同样深度的满二叉树中编号为i的结点在二叉树中位置完全相同,则这棵二叉树称为完全二叉树。

完全二叉树的具有以下特点:
- 叶子结点只能出现在最下两层
- 最下层的叶子一定集中在左部连续位置
- 倒数二层,若有叶子结点,一定都在右部连续位置
- 如果结点度为1,则该结点只有左孩子,即不存在只有右子树的情况
- 同样结点数的二叉树,完全二叉树的深度最小
判断某二叉树是否是完全二叉树的办法,那就是看着树的示意图,心中默默给每个结点按照满二叉树的结构逐层顺序编号,如果编号出现空档,就说明不是完全二叉树,否则就是。
# 二叉树的性质
性质1:在二叉树的第i层上至多有2^(i-1)个结点(i≥1)。
这个性质很容易理解,二叉树中每层结点数最多的树是满二叉树,观察满二叉树每层的结点数很容易得出这个结论。
性质2:深度为k的二叉树至多有 2^k -1个结点(k≥1)。
这个性质也很容易理解,相同深度的二叉树中结点数最多的是满二叉树,观察满二叉树不同深度下的节点个数很容易得出这个结论。
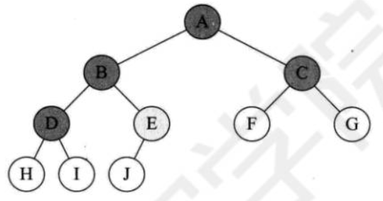
性质2:对任何一棵二叉树,如果其叶结点有n个,度为2的非叶子结点有m个,则 n = m + 1。
如下图,结点总数为10,它是由A、B、C、D等度为2结点,F、G、H、I、J等度为0的叶子结点和E这个度为1的结点组成。总和为4+1+5=10。n=5,m=4,满足n = m + 1。

性质4:具有n个结点的完全二叉树的高度为log2n + 1。
这个公式怎么来的就不细说了,有兴趣可以自己推导一下。
性质5:对于有n个结点的完全二叉树,按层次对结点进行编号(从上到下,从左到右),对于任意编号为i的结点:

# 二叉树的存储结构
# 1. 二叉树顺序存储结构
二叉树的顺序存储结构就是用一维数组存储二叉树中的结点,并且结点的存储位置,也就是数组的下标要能体现结点之间的逻辑关系,比如双亲与孩子的关系,左右 兄弟的关系等。
先来看看完全二叉树的顺序存储,一棵完全二叉树如图所示。

将这棵二叉树存入到数组中,相应的下标对应其同样的位置,如图所示:

由图可以看出,当二叉树为完全二叉树时,结点数刚好填满数组。 那么当二叉树不为完全二叉树时,采用顺序存储形式如何呢?例如:对于下图描述的二叉树:

其中浅色结点表示结点不存在。那么上图所示的二叉树的顺序存储结构如图所示:

其中,∧表示数组中此位置没有存储结点。此时可以发现,顺序存储结构中已经出现了空间浪费的情况。
我们再考虑下右斜树这种极端情况,采用顺序存储的方式显然是十分浪费空间的。因此,顺序存储一般适用于完全二叉树。
# 2. 二叉链表
既然顺序存储适用性不强,我们就要考虑链式存储结构,二叉树每个结点最多有两个孩子,所以为它设计一个数据域和两个指针域是比较自然的想法,我们称这样的链表叫做二叉链表。

上面提到的完全二叉树可以用下图表示:

就如同树的存储结构中讨论的一样,如果有需要,还可以再増加一个指向其双亲的指针域,那样就称之为三叉链表。由于与树的存储结构类似,这里就不详述了。